목 차
- RNN의 개선 알고리즘, LSTM과 GRU 등장 배경
- LSTM과 GRU 구조 및 주요 기술 요소
- LSTM(Long Short-Term Memory)과 GRU(Gated Recurrent Unit) 상세 비교
- LSTM과 GRU의 한계 및 최근 연구 동향
- 마무리
신경망(Recurrent Neural Networks, RNN)은 순차 데이터(sequence data)를 다루는 데 유용한 도구입니다. 텍스트, 음성, 시계열 데이터와 같은 순차 데이터는 자연어 처리(NLP), 음성 인식, 금융 예측 등 다양한 분야에서 중요한 역할을 합니다. 그러나 RNN은 긴 시퀀스를 처리할 때 기울기 소실(Gradient Vanishing) 문제로 어려움을 겪습니다. 이를 해결하기 위해 LSTM(Long Short-Term Memory)과 GRU(Gated Recurrent Unit)라는 두 가지 주요 개선 알고리즘이 개발되었습니다. 이번 글에서는 LSTM과 GRU의 원리와 구조, 차이점에 대해 자세히 알아보겠습니다.
1. RNN의 개선 알고리즘, LSTM과 GRU 등장 배경
1.1 RNN(순환 신경망)의 문제점 및 한계
RNN은 시퀀스의 각 항목을 순차적으로 처리하여 시퀀스 데이터를 모델링합니다. 기본적인 RNN은 이전 단계의 출력을 현재 단계의 입력으로 사용하여 정보를 전달합니다. 이러한 구조는 시간에 따라 변화하는 데이터를 처리하는 데 효과적입니다. 그러나 긴 시퀀스에서는 RNN이 과거의 중요한 정보를 유지하기 어려워집니다. 이는 역전파 과정에서 기울기 소실 문제가 발생하기 때문입니다. 기울기 소실 문제는 RNN이 멀리 떨어진 과거의 정보를 학습하는 데 어려움을 겪게 만듭니다.
기존의 RNN은 단기 기억을 잘 다루지만, 장기 의존성을 다루기 어렵다는 문제가 있었습니다. 특히 긴 시퀀스 데이터에서는 이전의 정보를 제대로 기억하지 못하거나, 그래디언트 소실 문제로 인해 학습이 어렵거나 불안정해질 수 있었습니다.
1.2 RNN 개선, LSTM(Long Short-Term Memory)과 GRU(Gated Recurrent Unit)
LSTM과 GRU는 기존의 RNN의 한계를 극복하고자 개발되었습니다. 특히 자연어 처리나 시계열 데이터와 같이 시퀀스 데이터를 다루는 많은 응용 분야에서 장기 의존성을 처리할 수 있는 강력한 도구로 자리 잡고 있습니다. LSTM은 그래디언트 소실 문제를 효과적으로 해결하고, GRU는 더 간단한 구조로 속도와 성능 사이에서 좋은 균형을 제공합니다.
2. LSTM과 GRU 기본 구조도 및 핵심 기술 요소
2.1 LSTM(Long Short-Term Memory) 기본 구조도 및 핵심 기술 요소
LSTM은 RNN의 기울기 소실 문제를 해결하기 위해 설계되었습니다. 1997년 Sepp Hochreiter와 Jürgen Schmidhuber가 처음 제안한 LSTM은 긴 시퀀스에서도 정보를 효과적으로 유지할 수 있도록 고안되었습니다. LSTM 셀은 입력 게이트(Input Gate), 망각 게이트(Forget Gate), 출력 게이트(Output Gate)로 구성됩니다.


LSTM은 3가지의 Gate를 통해서 데이터들의 입출력을 조절해 필요할 때에만 데이터를 넣고, 과거 정보를 업데이트하고 출력하여 기울지 소실(Gradient Vanishing) 문제를 해결하는 알고리즘이며, 여기서 σ는 시그모이드 함수, tanh는 하이퍼볼릭 탄젠트 함수, ∗는 요소별 곱(element-wise multiplication)을 나타냅니다.
▣ 입력 게이트(Input Gate)
입력 정보 중 어떤 부분을 업데이트할지 결정합니다. 현재 입력과 이전의 은닉 상태(hidden state)를 기반으로 입력 게이트의 활성화 값을 계산합니다. 이 게이트는 새로 들어오는 정보가 셀 상태(cell state)에 얼마나 반영될지를 결정합니다.
▣ 망각 게이트(Forget Gate)
이전 셀 상태를 얼마나 유지할지 결정합니다. 망각 게이트는 현재 입력과 이전 은닉 상태를 사용하여 활성화 값을 계산합니다. 이 값은 셀 상태의 어느 부분을 버릴지, 어느 부분을 유지할지를 결정합니다.
▣ 출력 게이트(Output Gate)
현재 셀 상태에서 출력할 정보를 결정합니다. 출력 게이트는 현재 입력과 이전 은닉 상태를 통해 활성화 값을 계산하며, 셀 상태에 어떤 정보를 출력으로 사용할지를 결정합니다.
이 세 가지 게이트는 LSTM이 긴 시퀀스에서도 중요한 정보를 유지하고, 필요 없는 정보를 제거하도록 돕습니다. 이를 통해 LSTM은 장기 의존성을 효과적으로 학습할 수 있습니다.
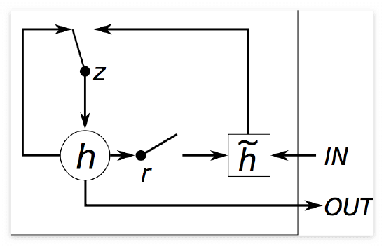
2.2 GRU(Gated Recurrent Unit) 기본 구조 및 주요 기술 요소
GRU (Gated Recurrent Unit)는 LSTM의 간소화된 버전입니다. 2014년 Kyunghyun Cho와 그의 연구팀이 제안한 GRU는 LSTM보다 간단한 구조를 가지고 있으며, 계산 비용이 적습니다. GRU는 두 가지 게이트로 구성됩니다.


GRU(Gated Recurrent Unit)는 리셋 게이트 r과 업데이트 게이트 z로, 총 두 가지 게이트로 구성, 리셋 게이트 값을 전부 1로 정해주고 업데이트 게이트를 전부 0으로 정한다면, 기본 RNN 구조가 동일하며, 여기서 σ는 시그모이드 함수, tanh는 하이퍼볼릭 탄젠트 함수, ∗는 요소별 곱(element-wise multiplication)을 나타냅니다.
▣ 업데이트 게이트(Update Gate)
새로운 정보를 얼마나 업데이트할지 결정합니다. 현재 입력과 이전 은닉 상태를 기반으로 업데이트 게이트의 활성화 값을 계산합니다. 이 게이트는 새로운 정보와 이전 정보를 어떻게 조합할지를 결정합니다.
▣ 리셋 게이트(Reset Gate)
이전 정보를 얼마나 무시할지 결정합니다. 리셋 게이트는 현재 입력과 이전 은닉 상태를 사용하여 활성화 값을 계산합니다. 이 값은 이전 은닉 상태를 얼마나 무시할지를 결정합니다.
GRU는 LSTM보다 구조가 간단하여 계산 비용이 적습니다. 하지만 성능은 LSTM과 비슷한 수준을 유지합니다. GRU는 셀 상태를 따로 유지하지 않으며, 은닉 상태만을 사용합니다.
3. LSTM(Long Short-Term Memory)과 GRU(Gated Recurrent Unit) 상세 비교
LSTM과 GRU는 RNN의 기울기 소실 문제를 해결하기 위해 개발된 두 가지 주요 알고리즘입니다. 이들의 주요 차이점과 특징을 요약하면 다음과 같습니다.
| 구분 | LSTM(Long Short-Term Memory) | GRU(Gated Recurrent Unit) |
| 출시 연도 | 1997년 | 2014년 |
| 게이트 수 | 3개(입력/망각/출력) | 2개(업데이트/리셋) |
| 복잡성 | 상대적 복잡함 | 상대적 단순함 |
| 계산 비용 | 고가 | 저가 |
| 셀 상태 | 셀 상태와 은릭 상태를 분리 | 셀 상태와 은닉 상태가 통합 |
| 기억 용량 | 장기적인 정보 유지에 더 강함 | 상대적으로 간단한 구조로 인해 짧은 시퀀스에 효율적 |
| 학습 속도 | 상대적으로 느림 | 상대적 빠름 |
| 성능 | 일반적으로 긴 시퀀스 데이터에서 더 우수함 | 짧은 시퀀스 데이터에서 효과적 |
| 기울기 소실 문제 | 기울기 소실 문제 해결에 효과적 | 기울기 소실 문제 해결에 효과적 |
| 사용 사례 | - 자연어 처리 - 언어 모델링 - 번역 및 음성 인식 |
- 실시간 처리 - 모바일 애플리케이션 |
LSTM은 긴(Long) 시퀀스(Sequence) 데이터 처리에 적합하고 GRU는 짧은(Short) 시퀀스(Sequence) 데이터 처리에 적합하며, 각 알고리즘의 특징과 장단점을 비교하여 사용 목적에 맞는 적절한 알고리즘을 선택할 수 있습니다.
4. LSTM과 GRU의 한계 및 최근 연구 동향
4.1 LSTM과 GRU의 한계
LSTM과 GRU는 RNN의 기울기 소실 문제를 완화시켜 주목받았지만, 여전히 몇 가지 한계를 가지고 있습니다. LSTM은 복잡한 구조로 인해 계산 비용과 메모리 소모가 크며, 매우 긴 시퀀스에서는 성능 저하가 발생할 수 있습니다.
또한, 복잡한 구조 때문에 과적합 문제가 발생하기 쉽습니다. GRU는 LSTM보다 단순한 구조로 계산 효율성이 높지만, 일부 복잡한 시퀀스 문제에서는 유연성이 부족할 수 있고, 긴 시퀀스 처리에서 LSTM만큼의 성능을 보장하지 못할 수 있습니다. 이로 인해 LSTM과 GRU 모두 특정 응용 분야에서 성능 제한이 있을 수 있습니다.
4.2 LSTM과 GRU의 한계 극복 연구 동향
1. Transformer 모델
| Self-Attention Mechanism: - Transformer 모델은 self-attention 메커니즘을 통해 시퀀스 내 모든 위치 간의 의존성을 모델링합니다. 이를 통해 장기 의존성 문제를 효과적으로 해결합니다. |
| 병렬 처리(Parallel Processing): - RNN 기반 모델들과 달리 Transformer는 시퀀스 데이터를 병렬로 처리할 수 있어 훈련 속도가 빠르고, 대규모 데이터셋을 효율적으로 처리할 수 있습니다. |
| BERT(Bidirection Encoder Representations from Transformers), GPT(Generative Pre-trained Transformer): - BERT, GPT와 같은 모델들은 자연어 처리에서 뛰어난 성능을 보이며, 다양한 응용 분야에서 사용되고 있습니다. |
2. Attention 메커니즘
| 성능 향상(Performance Improvement): - Attention 메커니즘은 특정 시간 단계에서 중요한 정보를 선택적으로 집중하게 하여 성능을 향상시킵니다. |
| Hybrid 모델: - LSTM이나 GRU에 attention 메커니즘을 추가하여 더 복잡한 시퀀스 데이터를 효과적으로 처리하는 하이브리드 모델들이 등장하고 있습니다. |
3. Efficient Transformer
| 경량화(Lightweight): - 최근에는 모델의 크기와 계산 복잡도를 줄이기 위해 다양한 경량화 기법들이 개발되고 있습니다. 이러한 모델들은 모바일 및 임베디드 시스템에서도 효과적으로 동작할 수 있습니다. |
4. RNN의 변형 모델
| Dilated RNNs: - Dilated RNNs는 dilated convolution에서 영감을 받아, 더 큰 수용 영역을 가진 상태 업데이트를 통해 장기 의존성을 더 잘 모델링할 수 있습니다. |
| Neural ODEs: - Neural Ordinary Differential Equations는 연속적인 시간 모델링을 통해, 시퀀스 데이터의 동적인 변화를 더 정교하게 캡처할 수 있습니다. |
5. 강화 학습과의 결합
| 강화 학습(Reinforcement Learning): 강화 학습과 RNN 구조를 결합하여, 순차적 의사결정 문제에서 더 나은 성능을 내는 연구가 활발히 진행되고 있습니다. |
LSTM과 GRU는 여전히 많은 응용 분야에서 사용되고 있지만, 그 한계를 극복하기 위한 다양한 연구가 진행되고 있습니다. Transformer 모델과 같은 새로운 접근 방식은 LSTM과 GRU의 한계를 넘어서는 성능을 보이며, 앞으로도 시퀀스 데이터 처리의 중심에 서게 될 것입니다. Attention 메커니즘, 경량화 모델, RNN의 변형 모델 등의 발전은 LSTM과 GRU를 보완하고, 더 나은 성능과 효율성을 제공하고 있습니다.
5. 마무리
LSTM과 GRU는 RNN의 기울기 소실 문제를 해결하기 위해 개발된 강력한 도구로, 순차 데이터 처리 분야에서 중요한 역할을 합니다. LSTM은 세 가지 게이트를 통해 긴 시퀀스에서도 장기적인 정보를 효과적으로 유지하며, 자연어 처리, 언어 모델링, 음성 인식 등 다양한 응용 분야에서 뛰어난 성능을 발휘합니다. 반면, GRU는 더 단순한 두 가지 게이트 구조로 계산 효율성이 높고, 실시간 처리나 모바일 애플리케이션과 같은 제한된 자원 환경에서도 효과적으로 사용할 수 있습니다.
그러나 두 알고리즘 모두 복잡한 구조와 메모리 소모, 특정 작업에서의 유연성 부족 등 몇 가지 한계를 가지고 있습니다. 최근에는 Transformer 모델과 같은 새로운 접근 방식이 등장하여, LSTM과 GRU의 한계를 극복하고 더 뛰어난 성능을 제공하고 있습니다. Attention 메커니즘, 경량화 모델, RNN의 변형 모델 등의 발전은 시퀀스 데이터 처리의 새로운 가능성을 열어주고 있습니다.
앞으로도 이러한 알고리즘과 기술들이 발전함에 따라, 더 다양한 응용 분야에서 혁신적인 성과를 기대할 수 있을 것입니다. LSTM과 GRU를 이해하고 적절히 활용하는 것은 여전히 중요한 기술이며, 최신 동향과 연구 결과를 지속적으로 반영하는 것이 성공적인 데이터 처리와 분석의 열쇠가 될 것입니다.
다음 포스팅 [8] 편에서는 생성적 적대 신경망인 GAN 관해서 더 자세히 알아보는 시간을 갖도록 하겠습니다.
'IT 핵심 기술 분석' 카테고리의 다른 글
| [5편] IoT 오픈 하드웨어(Hardware) 플랫폼의 모든것, 선택과 활용 (128) | 2024.07.02 |
|---|---|
| [5편] 블록체인 포크(Fork)의 이해, 유형별 상세 비교, 사례 및 영향 조사 (108) | 2024.07.01 |
| [5편] C-ITS로 교통 안전 혁신: 협력 지능형 교통 시스템의 모든 것 (105) | 2024.06.29 |
| [5편] 메타버스의 세계: 가상 현실 속 보안 위협과 윤리적 문제에 대한 주요 사례별 해결방안 (95) | 2024.06.28 |
| [4편] 메타버스 시대에서의 대체 불가능 토큰(Non-Fungible Token, 이하 NFT) 개요, 아키텍쳐 및 역할과 예측 (173) | 2024.06.28 |