목 차
- 순환 신경망, RNN(Recurrent Neural Network) 알고리즘 개요
- 순환 신경망, RNN(Recurrent Neural Network) 작동 원리 및 기술 요소
- 순환 신경망, RNN(Recurrent Neural Network) 주요 사용 사례
- 순환 신경망, RNN(Recurrent Neural Network)의 한계와 개선
- 마무리
최근 몇 년 동안, 기계 학습과 인공 지능 분야에서의 혁신은 우리의 일상생활을 크게 바꾸고 있습니다. 특히, 시계열 데이터에 대한 예측 능력이 중요한 여러 응용 분야에서 순환 신경망(RNN)이 두드러지게 활용되고 있습니다. 본 편에서는 RNN의 개요와 핵심 원리 및 사용 사례에 대해 더 자세히 알아보겠습니다.
1. 순환 신경망, RNN(Recurrent Neural Network) 알고리즘 개요
1.1 순환 신경망(RNN) 개념
순환 신경망(RNN)은 신경망 내부의 메모리를 통해서 과거의 학습 데이터를 기억하고 이를 통해서 연속적인 데이터의 흐름을 파악하는 인공 신경망 알고리즘입니다. 순환 신경망(RNN)은 전통적인 신경망과는 달리 내부적으로 순환 구조를 가지고 있습니다. 이 구조는 네트워크가 이전 단계의 출력을 현재 단계의 입력으로 사용할 수 있도록 허용합니다.
1.2 순환 신경망(RNN) 주요 특징
인공신경망(RNN)은 순차적 데이터 처리를 위해 설계된 신경망 아키텍처 유형입니다. 여기에는 다른 유형의 신경망과 구별되는 몇 가지 주요 특징이 있습니다.
| 주요 특징 | 설 명 |
| 순차 처리 | - RNN은 입력 요소의 순서가 중요한 순차 데이터를 처리하도록 특별히 설계되었습니다. 따라서 시계열 분석, 자연어 처리, 음성 인식과 같은 작업에 적합합니다. |
| 반복 연결 | - RNN에는 반복 연결이 있습니다. 즉, 특정 시간 단계에서 숨겨진 레이어의 출력이 다음 시간 단계의 입력으로 네트워크에 피드백된다는 의미입니다. 이를 통해 RNN은 내부 상태에서 이전 입력의 메모리를 유지하여 시간적 종속성을 캡처할 수 있습니다. |
| 유연한 입력 및 출력 형태 | - RNN은 가변 길이 시퀀스를 입력으로 처리하고 다양한 길이의 시퀀스를 출력으로 생성할 수 있습니다. 이러한 유연성 덕분에 동적 입출력 관계가 있는 작업에 적합합니다. |
| 기울기 소실(Vanishing Gradient) 및 폭발 | - RNN은 기울기 소실 또는 폭발 문제로 어려움을 겪을 수 있으며, 이로 인해 네트워크가 장기적인 종속성을 학습하기 어려울 수 있습니다. |
* 기울기 소실 문제(Vanishing Gradients Problem): 훈련 중에 가중치가 레이어를 통해 역전 파 됨에 따라 가중치에 대한 손실 함수의 기울기가 매우 작아질 때 발생하는 문제를 말합니다. 이로 인해 네트워크 학습이 매우 느려지거나 심지어 완전히 중단되기도 합니다.
RNN은 순차 데이터에서 단기 종속성을 캡처할 수 있지만 장기 종속성을 학습하는 데 어려움을 겪는 경우가 많습니다. 이러한 제한은 기울기 소실 문제로 인해 발생하며 LSTM(Long Short-Term Memory) 및 GRU(Gated Recurrent Unit)와 같은 고급 아키텍처의 개발로 이어졌습니다.
2. 순환 신경망, RNN(Recurrent Neural Network) 작동 원리 및 기술 요소
2.1 순환 신경망(RNN)의 핵심 작동 원리
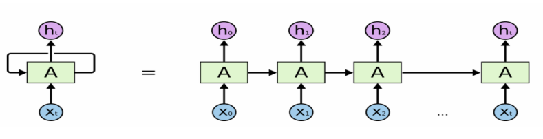
순환 신경망(RNN)의 핵심은 각 단계에서 이전 단계의 출력을 '은닉 상태(hidden state)'에 저장하는 것입니다. 이렇게 하면 네트워크는 현재 단계에서의 출력을 생성할 때 이전 단계의 정보를 고려할 수 있게 됩니다. 즉, 시퀀스의 패턴을 파악하고 예측하는 데에 적합합니다.

위 그림에서 보면 X는 입력값이고 A 가 RNN 활성화 함수이며, ht는 결과 값을 의미합니다. 내부에 유닛 사이의 연결이 Directed Cycle(다이렉트 사이클) 형성하고 있으며 자기 자신을 가리키는 Rcurrent Weight(순환 가중치)을 포함하는 네트워크로 구성되어 있습니다.
2.2 순환 신경망(RNN) 주요 기술 요소
순환 신경망(RNN) 은 학습망 측면에서 Directed Cycle, Recurrent Weight, BPTT, Sequential Data 학습으로 구성되어 있고 신경망 측면으로는 입력층(Input Layer), Hidden Layer(은닉층), Ouput Layer(출력층)로 구성되어 있습니다.
| 구분 | 기술 요소 | 설 명 |
| 학습망 측면 | Directed Cycle | - 방향성이 있는 사이클을 이용하여 하나의 입력 값에 여러 개의 값이 출력 |
| Recurrent Weight | - 자기 자신을 가리 키는 반복 가중치 구조 | |
| BPTT 알고리즘 | - Back Propagation Though Time - 오류역전파(Error Back Propagation)를 확장한 알고리즘으로 시간 방향 학습 |
|
| Sequential Data Learning | - 과거 내용을 통한 현재의 내용에 대한 문맥을 이해 - Yk-1(과거) -> Yk(현재) -> Yk+1(미래) |
|
| 신경망 측면 |
Input Layer | - Sequential Data 입력되는 계층 |
| Hidden Layer | - 활성화 함수 기반 계산 및 판단하는 계층 | |
| Output Layer | - 계산된 결과 값이 출력되는 계층 |
이러한 기술 요소들은 주로 시퀀셜한 데이터 처리에 탁월한 성과를 발휘하며, 예를 들면 음성 데이터, 주가 데이터, 텍스트 등이 있습니다.
3. 순환 신경망, RNN(Recurrent Neural Network) 주요 사용 사례
순환 신경망(RNN)은 순차적 데이터를 처리하도록 설계된 신경망 아키텍처 유형입니다. 순차적 데이터의 시간적 종속성과 패턴을 캡처하는 기능으로 인해 다양한 응용 프로그램에서 널리 사용되었습니다. 다음은 RNN의 몇 가지 일반적인 사용 사례입니다.
| 주요 사용 사례 | 설 명 | |
| 자연어 처리(NLP) | ■ 언어 모델링: RNN은 언어 모델링 작업에 사용되어 이전 단어의 컨텍스트를 바탕으로 시퀀스에서 다음 단어의 확률 분포를 예측할 수 있습니다. ■ 텍스트 생성: RNN은 챗봇, 창의적 글쓰기, 콘텐츠 생성에 적용할 수 있는 인간과 유사한 텍스트를 생성할 수 있습니다. ■ 기계 번역: 특히 주의 메커니즘을 갖춘 RNN은 언어 번역과 같은 작업에 사용되었습니다. |
|
| 음성 인식 | ■ RNN은 음성 신호의 시간적 종속성을 모델링하는 데 사용할 수 있으므로 자동 음성 인식(ASR)과 같은 애플리케이션에 적합합니다. | |
| 시계열 예측 | ■ RNN은 시계열 데이터에서 미래 가치를 예측하는 데 효과적이므로 재무 예측, 주가 예측, 일기 예보, 에너지 소비 예측에 유용합니다. | |
| 이상 탐지 | ■ RNN은 시계열 데이터의 정상 동작을 모델링하는 데 사용될 수 있으므로 학습된 정상 동작에서 벗어나는 이상 현상이나 비정상적인 패턴을 감지할 수 있습니다. | |
| 의료 | ■ RNN은 시계열 의료 기록과 같은 순차적 건강 데이터를 분석하여 환자 결과, 질병 진행을 예측하거나 잠재적인 건강 위험을 식별하는 데 사용할 수 있습니다. | |
| 제스처 인식 | ■ 컴퓨터 비전 애플리케이션에서는 RNN을 적용하여 비디오 시퀀스의 제스처를 인식할 수 있으며 이는 인간과 컴퓨터의 상호 작용에 유용합니다. | |
| 로봇공학 | ■ RNN은 동작의 순차적 특성을 캡처해야 하는 모션 계획과 같은 작업을 위해 로봇 공학에 사용될 수 있습니다. | |
위 사용 사례는 다양한 시계열 데이터 분석 작업을 처리하는 RNN의 다양성을 강조하여 컴퓨터 비전(Computer vision) 및 인공 지능 영역의 기본 기술로 만듭니다.
4. 순환 신경망, RNN(Recurent Neural Network)의 한계와 개선
4.1 순환 신경망(RNN)의 한계
입력 값(Input)이 단어의 나열로 들어올 경우 문맥(Context) 상에서 중요한 단어와 단어 사이의 간격(Gap)이 적을 경우에는 RNN 이 잘 작동되지만 그 간격이 넓을 경우에는 기울기 소실 문제(Vanishing Gradients Problem)로 인해 RNN 이 잘 작동하지 않는 장기 의존성 문제가 발생됩니다.
4.2 순환 신경망(RNN)의 문제점 개선
순환 신경망(RNN)의 기울기 소실 문제 (Vanishing Gradients Problem)로 인해서 발생되는 장기적인 의존을 해결하기 위해서 고안된 대표 알고리즘이 LSTM과 GRU입니다. LSTM은 3가지 게이트(Input/Output/Forget)를 이용하여 데이터의 입출력을 조절하고 GRU는 2가지 유니트(Reset/Update)를 이용하여 데이터의 입출력을 조절하는 방식입니다.
과거에는 주로 RNN이 널리 사용되었지만 LSTM(Long Short-Term Memory) 및 GRU(Gated Recurrent Unit)와 같은 고급 아키텍처가 기울기 소실 문제 (Vanishing Gradients Problem)와 같이 기존 RNN이 직면한 일부 문제를 해결하기 위해 개발되었다는 점은 주목할 가치가 있습니다. 또한 Transformer 모델과 같은 최신 아키텍처에는 GA가 있습니다. 이러한 모델은 더 긴 시계열 데이터에서도 효과적으로 학습할 수 있어, RNN의 한계를 극복하는데 일조하고 있습니다.
5. 마무리
순환 신경망(RNN)의 앞으로의 과제는 복잡한 순차 관계를 모델링하는 능력을 향상하고 고유한 문제를 극복하는 것입니다. RNN이 발전함에 따라 데이터의 장기적인 종속성을 캡처하고, 사라지는 기울기 소실 문제를 해결하고, 복잡한 시간 패턴에 대한 보다 효과적인 학습을 촉진하는 개선이 예상됩니다. 개발 방향에는 학습 중 정보 손실 문제를 완화하기 위해 LSTM(Long Short-Term Memory) 및 GRU(Gated Recurrent Unit)와 같은 고급 RNN 아키텍처를 통합하는 것이 포함됩니다. 또한 변환기 모델에서 영감을 얻은 주의 메커니즘과 혁신은 시퀀스 학습의 효율성을 향상하는 역할을 할 가능성이 높습니다. RNN이 계속 발전함에 따라 자연어 처리, 시계열 분석, 순차 데이터를 포함하는 다양한 작업에서 우수한 성능을 달성하는 데 중점을 두고 응용 분야가 확대되어 기술 발전에 기여할 것으로 예상됩니다.
'Comkevin's IT 전문지식 창고 > AI · LLM · 데이터 기술' 카테고리의 다른 글
| [IT-인공지능] GAN, 실제 이미지와 구별할 수 없는 가짜 이미지 생성하는 생성적 적대 신경망 개념과 동작원리 및 유형 이해 (129) | 2024.07.04 |
|---|---|
| [IT-인공지능] RNN 한계 극복: LSTM과 GRU의 구조와 상세 비교 및 최근 연구 동향 (94) | 2024.06.30 |
| [IT-인공지능] 합성곱 신경망(CNN) 개요와 동작 매커니즘 및 응용분야 (149) | 2024.01.16 |
| [IT-인공지능] 딥 러닝(Deep Learning, DL) 개념 및 주요 알고리즘 소개 (62) | 2023.11.19 |
| [IT-인공지능] 기계학습(Machine Learning, ML) 개념 및 기본 알고리즘 (40) | 2023.11.19 |